Using Power Sensors Intermittently: How to Calculate the Maximum Power in Any Setup
I am integrating a L100(500A) power meter head into a workstation and I would like to know how long between "readings" do I have to wait for the head to cool or what dictates how long I can shoot into the head. I realize that I can put a beam into the head at 500W for 1 min, 300W for 2 min or 75W continuously...but what determines how long I must wait if I wanted to take a 150W reading for 20 seconds, 10 times in a row (as an example)? How long would I have to wait between shots or could I take 5 readings, then wait 1 min and take 5 more etc.
The problem of irradiating the L100(500)A head with different input powers is analogous to that of filling a tank that has a hole in the bottom. The rate equation describing the accumulating energy (heat) in the head is

The complete solution to this differential equation is an exponential of the form:

The parameters in the above equation are determined by the head characteristics and the initial conditions.
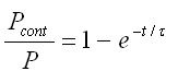
For a generic head starting at room temperature this equation becomes:

where Pcont is the maximum power permitted for continuous operation. We can use the other known operating limits of the head to solve for τ, the thermal time constant of the head.

Here Pint is the power permitted for intermittent use for tint seconds. With τ we can calculate the permitted operating time for an arbitrary power.
For your case we have the known limits:
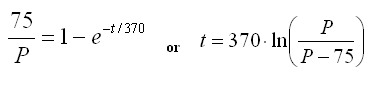
75 W continuous
500 W for 1 min
So Pcont = 75 W. Using Pint = 500 W and tint = 60 sec gives a value of τ = 370 sec. Combining we have:

which tells us how long we can irradiate the sensor (from cold start) for any given incident power.
With 150 W, you could irradiate the sensor for 250 sec.
However, if you want to cycle between irradiating and cool down continuously, you don't reach ambient before the laser is turned on again. If the laser is on for t(on) and then turned off (or blocked) for t(cool), the head will cycle between two values of Q: Q(max) at the end of the heating (related to Pcont) and Q(0) at the end of the cool down and start of the heating.
Using the general solution for Q above, we can solve for the behavior during the heating and cooling phases.
This leads to the following equation relating P, t(on) and t(cool):

where Pcont and are determined as described in the first case above. Note that the behavior is essentially the same as for the previous case in which we started with the sensor at ambient but with the maximum power permitted for a given irradiation time reduced to

You indicated that you want to take 10 readings of 20 seconds each so t(on) is 200 seconds. For incident power of 150 W and measurement time of 200 sec, we need a cool down time of 470 sec. Other parameter sets can be considered as necessary.